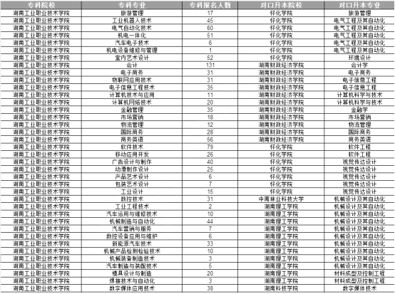
湖南工业职业学院专升本对口院校一共有5所,分别是怀化学院、湖南财政经济学院、中南林业科技大学、湖南理工学院和湖南科技学院,各专业报名人数及对口院校相关内容,详见下表。

展开全文
你的姓名
*联系方式
就读年级
就读专业
立即预约

湖南专升本声明
(一)由于考试政策等各方面情况的不断调整与变化,本网站所提供的考试信息仅供参考,请以权威部门公布的正式信息为准。
(二)本网站在文章内容来源出处标注为其他平台的稿件均为转载稿,免费转载出于非商业性学习目的,版权归原作者所有。如您对内容、版权等问题存在异议请于我们联系,我们会及时处理。
文章来源于网络,如有侵权,请联系删除

报名流程
招生计划
历年分数线
疑问解答
资料领取
考试时间 


